全国服务热线:
0512-66551331
15862372961
电感元件是一种储能元件,电感元件的原始模型为导线绕成圆柱线圈。当线圈中通以电流i,在线圈中就会产生磁通量Φ,并储存能量。表征电感元件(简称电感)产生磁通,存储磁场的能力的参数,也叫电感,用L表示,它在数值上等于单位电流产生的磁链。电感元件是指电感器(电感线圈)和各种变压器。

“电感元件”是“电路分析”学科中电路模型中除了电阻元件R,电容元件C以外的一个电路基本元件。在线性电路中,电感元件以电感量L表示。元件的“伏安关系”是线性电路分析中除了基尔霍夫定律以外的必要的约束条件。电感元件的伏安关系是 u=L(di/dt),也就是说,电感元件两端的电压,除了电感量L以外,与电阻元件R不同,它不是取决于电流i本身,而是取决于电流对时间的变化率(di/dt)。电流变化愈快,电感两端的电压愈大,反之则愈小。据此,在“稳态”情况下,当电流为直流时,电感两端的电压为零;当电流为正弦波时,电感两端的电压也是正弦波,但在相位上要超前电流(π/2);当电流为周期性等腰三角形波时,电压为矩形波,如此等等。总的来说,电感两端的电压波形比电流变化得更快,含有更多的低频成分。
通俗地说,穿过一个闭合导体回路的磁感线条数称为磁通量。由于穿过闭合载流导体(很多情况是线圈)的磁场在其内部形成的磁通量变化,根据法拉第电磁感应定律,闭合导体将产生一个电动势以“反抗”这种变化,即电磁感应现象。电感元件的电磁感应分为自感应和互感应,自身磁场在线圈内产生磁通量变化导致的电磁感应现象,称为“自感应”现象;外部磁场在线圈里磁通量变化产生的电磁感应现象,称为“互感应”现象。
比如,当电流以1安培/秒的变化速率穿过一个1亨利的电感元件,则引起1伏特的感应电动势。当缠绕导体的导线匝数增多,导体的电感也会变大,不仅匝数,每匝(环路)面积,连缠绕材料都会影响电感大小。此外,用高渗透性材料缠绕导体也会令磁通量增加。
电感元件即利用这种感应的原理,在电路中发挥了许多作用。
储存的能量
一个电感元件储存的能量(单位:焦耳)等于流经它的电流建立磁场所做的功,其值由下式给出:

其中L为电感,I为流经电感的电流。
上述的关系仅适用在电流和磁通呈线性,尚未进入磁饱和的电感元件。
若针对电感元件,要计算在时间 到 之间,电感元件可以储存的能量,可以用下式计算:

电感元件结构
电感可由电导材料盘绕磁芯制成,典型的如铜线,也可把磁芯去掉或者用铁磁性材料代替。比空气的磁导率高的芯材料可以把磁场更紧密的约束在电感元件周围,因而增大了电感。
电感有很多种,大多以外层瓷釉线圈(enamel coated wire )环绕铁素体(ferrite)线轴制成,而有些防护电感把线圈完全置于铁素体内。一些电感元件的芯可以调节。由此可以改变电感大小。
小电感能直接蚀刻在PCB板上,用一种铺设螺旋轨迹的方法。小值电感也可用以制造晶体管同样的工艺制造在集成电路中 。在这些应用中,铝互连线被经常用做传导材料。不管用何种方法,基于实际的约束应用最多的还是一种叫做“旋转子”的电路,它用一个电容和主动元件表现出与电感元件相同的特性。 用于隔高频的电感元件经常用一根穿过磁柱或磁珠的金属丝构成。
电子电路
像电容元件反抗电压的变化一样,电感元件反抗电流的变化。一个理想电感元件应对直流电不呈电阻性,然而只有超导电感元件才会产生零电阻。
一般来说,随时间变化的电压v(t)与随时间变化的电流i(t)在一个电感为L的电感元件上呈现的关系可以用微分方程来表示:

当有正弦交流电穿过电感元件时,会产生正弦电压。电压的幅度与电流的幅度( )与电流的频率(f)的乘积成比例。

在这种情况下,电流与电压的相位相差90度,(电流落后电压)
拉普拉斯电路分析
当于电路分析中使用拉普拉斯变换,一个没有初始电流的理想电感元件的阻抗能于s域被表述成:

L为电感
s为复频率
如果电感元件没有起始电流,那它可以被表述成:
附加一个电压来源,以串联形式与电感元件连接着,电压来源的值为:
(请留意电压来源应该有与初始电流相反的极性)
或是附加一个电流来源,以并联形式与电感元件连接着,电流来源的值为:
L为电感, I0为电感元件的初始电流
电感元件网络
主条目:串联与并联电路
并联电路中的电感元件每个都有相同的电势差。其总的等效电感(Leq):

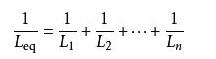
通过串联电感的电流保持不变,但每个电感元件上的电压可不同。其电压之和等于总电压。总电感:
这种简单的关系只有在没有磁场互耦(mutual coupling)的条件下才成立。
品质因数Q
一个理想的电感元件是不会因流经线圈的电流的大小而改变其敏感度。但是于实际环境下,线圈内的金属线会令电感元件带有绕组电阻。由于绕组电阻是以串联著电感元件的电阻形式出现,所以亦被称为串联电阻。由于串联电阻的存在,实际电感元件的特性会不同于理想电感,可以用品质因数表示电感和电阻之的比例。
一个电感元件的品质因数(简称Q)是它处于某一特定频率时,它的电感电抗和电阻之间的比例,这个比例是用来量度电感元件的有效程度。品质因数越高,电感元件的表现越相似现想中电感元件的表现。
电感元件的品质因数Q能由以下方程式可得,R是电感元件的内部电抗:

使用铁磁性材料而其他部分不变的话,电感会上升,因此品质因数会被提高。但是若频率上升时,铁磁性材料的电感会降低,也就是电感是频率的变数。所以于甚高频(VHF)或更高频的情况下,会倾向使用空气核心。使用铁磁性核心的电感元件可能会于大量电流流入时进入饱和状态,引致电感及品质因数下降。使用空气核心能避免这种现象。一个经良好设计的含空气核心的电感元件能有高达几百的品质因数。
一个近乎理想的电感元件(即近乎无限的的品质因数)可以由以下方法所制:将由超导合金所制的线圈浸入液态氦或液态氮中。这会令电线处于极低温状态,而绕组电阻会消失。因为超导电感元件的效能极近乎理想中的电感元件,它可以储存大量电能于磁场内。
相同条件下内阻越大,品质因数越小。品质因数可以看做是衡量电感元件好坏的标准之一,品质因数越高通常意味着电感的质量越好。
应用
电感元件广泛的应用在模拟电路与信号处理过程中。
电感元件与电容元件及其他一些器件结合可以形成调谐电路,可以放大或过滤一些特定的信号频率。
大电感可用于电源的阀门(chokes),以前也经常与滤波器联用用于去除直流输出的冗余和波动成分。
磁珠或环绕电缆可产生小电感可阻止传输线中的射频干扰。
小的电容/电感还可结合产生调谐电路用于无线电的收发。
两个或多个电感元件之间有耦合磁通量可形成变压器,变压器是电力电源系统的基本组件。变压器的效率随着频率的增加而减小,但高频变压器的体积也变的很小,这也是为什么一些飞行器用400赫兹交流电而不是通常的50或60赫兹,用小型变压器而节省了大量的载重。
在开关式电源中,电感元件被做为储能元件。电感元件随着调整器的转换频率的特定部分而储能,而在周期后半部分释放能量。其能量转换比决定了输入输出电压比。 这个XL 用于补充主动半导体设备可用来精确控制电压。
电感元件也被应用于电力传输系统,用来降低系统电压或限制疵电流(fault current),这些通常被用于反应堆。相比其他元件电感元件要显得大而重,所以在现代设备里以减少了其应用;固态开关电源去掉了大变压器,电路转为使用小的电感元件,而大值则由回转器(gyrator) 电路模拟。
Copyright © 2012-2025 苏州腾斯凯电子科技有限公司 版权所有 备案号:苏ICP备14001140号
苏公网安备32050602012939 技术支持 :日日升网络